新型铁磁形状记忆合金具有多功能、高效率、绿色环保的综合优势,是智能驱动与固态制冷应用的理想候选材料。在取向相关的功能特性和相变特性等方面取得了重要进展,为设计和研制新型铁磁功能材料提供了理论支撑,基于相变调控择优取向开发出高性能多晶磁控功能材料。承担了科技部863计划项目、国家自然科学基金重点项目等10余项科研项目,在《Acta Mater.》等材料学领域国际学术期刊发表相关论文80余篇。
(1)建构调制马氏体相超结构模型,准确表征铁磁形状记忆合金相变晶体学
首次精确解析了NiMnIn合金调制结构马氏体相晶体结构并构建了超结构模型,系统表征了马氏体孪晶关系及界面特征,明确了马氏体相变及中间马氏体相变过程中的取向关系,完善了马氏体相变晶体学理论。澄清了调制结构马氏体具有独立的晶体结构而非纳米孪生非调制马氏体组合的这一长期争议性问题。

图1 Ni50Mn36In14合金同步辐射粉末衍射花样与基于超空间理论的全谱拟合图谱及晶体结构示意图
(2)阐明外应力下变体重排行为,提出铁磁形状记忆合金热机械训练新技术
原位测定了外应力作用下的马氏体相变过程并分析了马氏体变体的择优取向,阐明了外加载荷对马氏体变体团内变体重排行为的影响规律和机理,揭示了热-机械训练变体选择的取向依赖特性,基于热-机械训练实现多晶NiMnGa合金马氏体择优分布调控。基于机械训练调控变体分布及孪晶应力,获得了2%的单程磁感生应变及0.4%的可逆磁感生应变。

图2 定向凝固Ni50Mn28.5Ga21.5合金的磁感生应变。(a)单程磁感生应变;(b)可逆磁感生应变
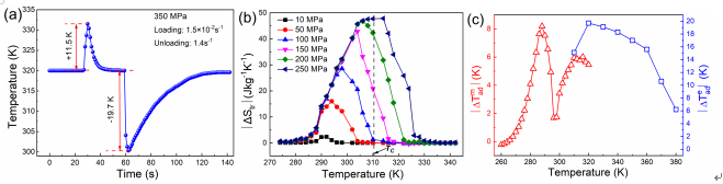
(3)协同控制磁性-结构转变,实现多晶合金磁热与弹热效应的高性能化
基于合金成分设计,协同调控磁性转变与结构转变,1.5T磁场下在Ni46Co3Mn35Cu2In14合金中获得了高达−2.5K的磁热效应可逆绝热温变,在<001>A强取向的定向凝固Ni50Mn35In15合金中获得了近20K的弹热效应绝热温变,通过联合逆马氏体相变附近的反磁热效应、居里转变附近磁热效应、居里转变之上的弹热效应有效拓宽了制冷温区(可达110K)。
图3 (a)定向凝固Ni50Mn35In15合金320K时绝热温变随时间变化;(b)不同应力条件下等温熵变随温度变化;(c)联合多种热效应的制冷温区

